百科事典
ケストースとコラーゲン合成
背景
コラーゲンは細胞内でプロコラーゲンとして合成され、ビタミンCの助けを受けてヒドロキシ化や糖鎖修飾が行われ、三重らせん構造を形成します。その後、細胞外へ分泌され、酵素によりプロペプチドが除去されて成熟したコラーゲンとなり、線維として組織の構造を支えます。
結果
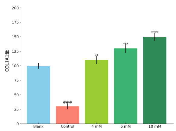
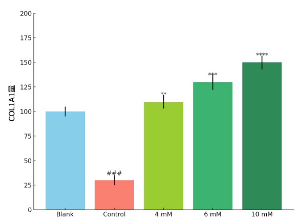
ヒトケラチノサイトにケストースを加えることでコラーゲン合成に関与するCOL1A1の発現が増加した。
要約
ケストースはコラーゲン合成を促進します。
今後の可能性
ケストースがコラーゲン合成の促進につながる可能性があります。
(Baek J et al, J Microbiol Biotechnol, 2024)

