百科事典
ケストースと活性酸素
背景
活性酸素(Reactive Oxygen Species, ROS)とは、酸素分子が体内で化学反応を起こして生成される、反応性が高い酸素化合物の総称である。過度なROSは酸化ストレスを引き起こし、細胞膜やDNA、タンパク質を損傷する
結果
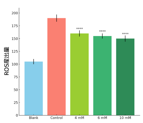
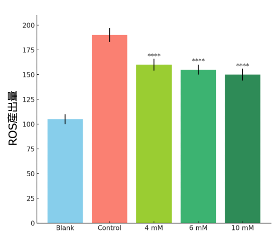
ヒトケラチノサイトにケストースを加えることでROSの蓄積が著しく減少した。
要約
ケストースはROSの蓄積を抑制する。
今後の可能性
ケストースがROSを減少させることで、肌の疾患の予防につながる可能性がある。
(Baek J et al, J Microbiol Biotechnol, 2024)

