百科事典
ケストースと猫の腸内細菌
背景
腸内細菌叢は個体ごとに異なる構成を持ち、プレバイオティクスの応答もその背景によって異なる可能性があります。ケストースは新規プレバイオティクスとして注目されており、本研究では、健康な猫におけるケストース摂取が腸内細菌の構成に与える影響を、16S rRNAメタゲノム解析を用いて検討しました。
結果
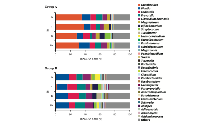
ケストース摂取開始前(0週)における腸内細菌の属レベルでの構成に基づき、被験猫6匹は以下の2群に分類されました:
- Group A (GA):Lactobacillusの占有率が高い群(例:ID 1, 2)
- Lactobacillusは0週で34.4% → 4週で38.4% → 8週で28.6% → 10週で31.7%
- 摂取中にやや変動したが、全体として安定して高い割合を維持
- Group B (GB):Blautiaが優勢でLactobacillusが極めて少ない群(例:ID 3–6)
- Blautiaは0週で18.1% → 10週でも18.4%と変化小
- Lactobacillusは0週で0.1% → 4週で一時的に2.4%まで上昇 → 10週で0.1%に戻る
要約
ケストース摂取前の腸内細菌構成に基づき、猫はLactobacillus優勢型(GA)とBlautia優勢型(GB)に分類されました。GAではLactobacillusの高い割合が摂取期間中も維持されましたが、GBでは摂取により一時的な増加が見られたものの、元の低水準に戻りました。この結果は、腸内細菌叢の初期状態がプレバイオティクスの応答性に影響する可能性を示唆しています
引用文献 Shinohara M et al, JVMS 2020

